PT e PL vão receber a maior fatia do Fundo de Financiamento de Campanha

logo RCN

Ultimas :

24/09/2025 07:55
POLÍTICA

PT e PL vão receber a maior fatia do Fundo de Financiamento de Campanha

Por Victor Hugo Lessa

 Publicado 18/06/2024 16:06  – Atualizado 20/06/2024 18:42

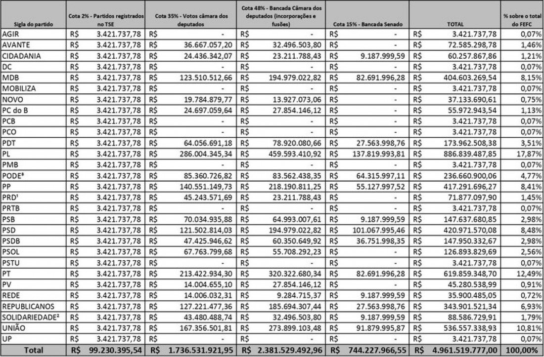
Acima, os valores que cada partido vai receber nas próximas eleições
  • Acima, os valores que cada partido vai receber nas próximas eleições (Fotos: FONTE TRIBUNAL SUPERIOR ELEITORAL)

No total, o TSE vai distribuir quase R$ 5 bilhões aos 29 partidos políticos

O Tribunal Superior Eleitoral divulgou, na segunda-feira (17), os valores que cada partido vai receber do Fundo Especial de Financiamento de Campanha (FEFC), seguindo o prazo fixado pelo calendário eleitoral. Ao todo, 29 partidos receberão R$ 4.961.519.777,00, valor estabelecido pelo Congresso Nacional para gastos com a corrida eleitoral deste ano. Para receber os recursos, o partido precisa definir critérios de distribuição às candidatas e aos candidatos, de acordo com a lei, respeitando, por exemplo, a cota por gênero e raça. Os cinco partidos que mais vão receber recursos do Fundo de Campanha são, pela ordem, são PL: R$ 886.839.487,85; PT: R$ 619.859.348,70; União Brasil: 536.557.338,93; PSD: 420.971.570,08 e PP: 417.291.696,27

Distribuição
Os recursos devem ser distribuídos, em parcela única, aos diretórios nacionais dos partidos, observando os critérios estabelecidos pela Lei nº 9.504/1997:
2%, divididos igualitariamente entre todas as legendas com estatutos registrados no TSE;
35% entre os partidos que tenham, pelo menos, um representante na Câmara dos Deputados, na proporção do percentual de votos obtidos na última eleição;
48% entre as siglas, na proporção do número de representantes na Câmara, consideradas as legendas dos titulares;
15% entre os partidos, na proporção do número de representantes no Senado Federal, consideradas as legendas dos titulares.

SIGA O JM NAS REDES:

Google News Google News Google News Google News
  • Notas de dinheiro (Crédito: Depositphotos)

Tags

  • Financiamento de campanha
  • Fundo Eleitoral
  • TS
  • TSE

Deixe seu comentário

Mais lidas